Volume 15, Issue 5 (Sep & Oct 2025)                   J Research Health 2025, 15(5): 517-526 | Back to browse issues page


XML Print


Download citation:
BibTeX | RIS | EndNote | Medlars | ProCite | Reference Manager | RefWorks
Send citation to:

Lahdji A, Azano N S, Rahmawati R N, Qolmbi F N, Jehan M N, Humaira Maharani S A, et al . Factors Associated With Post-stroke Depression Among Outpatient Stroke Patients at Wongsonegoro Hospital, Indonesia. J Research Health 2025; 15 (5) :517-526
URL: http://jrh.gmu.ac.ir/article-1-2711-en.html
1- Department of Public Health, Faculty of Medicine, Universitas Muhammadiyah Semarang, Semarang, Indonesia. , lahdjiaa@unimus.ac.id
2- Department of Public Health, Faculty of Medicine, Universitas Muhammadiyah Semarang, Semarang, Indonesia.
3- Department of Nursing, Faculty of Nursing and Health Sciences, Universitas Muhammadiyah Semarang, Semarang, Indonesia.
Full-Text [PDF 633 kb]   (324 Downloads)     |   Abstract (HTML)  (1690 Views)
Full-Text:   (163 Views)
Introduction
Stroke is one of the main etiologies of neurological disorders globally, with high prevalence. The World Health Organization (WHO) reported that 15 million people suffer a stroke every year, with 5 million sustaining permanent disabilities [1]. Non-hemorrhagic stroke is the leading cause of stroke, contributing to 70–80% of cases, and occurs due to impaired blood flow to the brain caused by an occlusion in the artery [2]. The consequences of stroke are not only physical but also psychological, including post-stroke depression (PSD), which has become the most common complication, and may have an impact on stroke patients’ conditions as high as 30–50%. The criteria of depressed features, major depressive-like episodes, manic features, or mixed features are diagnostic criteria for PSD [3]. 
The prevalence of PSD varies among different populations. A meta-analysis showed that one in three stroke patients experienced depression in the first few months after the stroke event [4]. This condition not only exacerbates patients’ health but also diminishes their quality of life. Several other factors, such as behavioral perception and daily activities, may also influence the development of PSD [5]. Misconceptions about illness and a person’s inability to perform daily activities can negatively affect psychological well-being due to feelings of helplessness [3]. If this condition persists for a long time, it may result in PSD. Moreover, individual characteristics play a role in increasing the risk of depression in stroke patients. Factors, like age, gender, education, and economic status, impact the incidence of depression in stroke patients [6]. 
Behavioral perception plays a crucial role in the rehabilitation of stroke patients [7]. This perception includes how patients view their ability to perform daily tasks, their confidence levels, and their motivation to engage in rehabilitation activities. Patients with depression tend to have a negative view of their abilities to perform daily activities [8]. Stroke patients who have a good understanding of their condition are more likely to have a positive perception and be proactive in seeking help. On the contrary, patients who are isolated or lack social support tend to have a negative perception and experience higher levels of depression [9]. 
Significant changes also occurred in the ability of stroke patients to perform daily activities. This may include difficulties in moving, speaking, eating, bathing, and other daily activities. The depression that often accompanies this condition further impairs patients’ ability to function independently. Patients with depression tend to avoid activities they previously enjoyed, feel excessively fatigued, and exhibit motivation to participate in rehabilitation [10, 11]. Although many studies have evaluated the relationship between stroke and depression, there is limited research focusing on patients’ perceptions of behavior and daily activities. Other studies have primarily explored physical abilities, while patient perceptions remain underexplored. This study aimed to evaluate the relationship between patient characteristics, behavioral perceptions, and daily activities and PSD among outpatient stroke patients at Wongsonegoro Hospital, Indonesia. 

Methods 

Design

This is a cross-sectional study performed to evaluate behavioral perceptions, daily activities, and individual characteristics associated with PSD. Using a cross-sectional design, the variables can be collected simultaneously, allowing for the measurement and interpretation of prevalence and results at one time.

Samples and locations
According to the Slovin formula, 70 post-stroke patients visiting Wongsonegoro Semarang Hospital were included in the study. Samples were included using consecutive sampling. The inclusion criteria for this study were post-non-hemorrhagic stroke patients who had been affected for more than 3 months and who resided in Semarang. Conversely, the exclusion criteria included stroke patients diagnosed with a history of depression, those with language or communication barriers, those who were uncooperative, and patients who did not fully complete the questionnaire. In this context, depression refers more specifically to the mental condition of schizophrenia; if a patient cannot communicate effectively, data collection cannot be completed. 

Data collection
After being informed about the study, participants signed a consent form to begin the recruitment process. The participants completed the questionnaire independently, accompanied by a researcher; however, some required assistance from the researcher due to difficulties with writing. The responses were based on individuals’ expressions. The research team reviewed the respondents’ answers to ensure there were no errors in completing the questionnaire and interpreting the questions in each instrument. 

Instruments
Individual characteristics were evaluated using a demographic questionnaire, including age, gender, education, length of illness, and income. 
Behavioral perception was assessed using the health belief model (HBM), which consists of perceived severity, perceived susceptibility, perceived benefit, perceived barrier, self-efficacy, and cues to action. In the HBM, researchers only used four answer choices: Strongly agree, agree, disagree, and strongly disagree. The Likert scale is used to reveal the dimensions of perceived susceptibility, perceived severity, perceived benefits, perceived barriers, cues to action, and self-efficacy. The statements on this scale are categorized as favorable or unfavorable. Favorable statements that support the attitude object are assigned weighted values of strongly agree=4, agree=3, disagree=2, and strongly disagree=1. Conversely, unfavorable statements that oppose the attitude object are assigned weighted values of strongly agree=1, agree=2, disagree=3, and strongly disagree=4. The HBM has been shown to be valid and reliable for use in the Indonesian population, with no items having a t<1.96 [12].
Daily activities were assessed using the Barthel index questionnaire. It Measures daily activities divided into 10 components: feeding, bathing, grooming, dressing, bowel, bladder, toilet use, bed-to-chair-and-back transfer, mobility, and stair negotiation. Measurement uses a Likert scale is based on a Likert scale, with scores of 0-20 indicating total dependency, 21-60 indicating severe dependency, 61-90 indicating moderate dependency, and 91-99 indicating slight dependency. The reliability score for the Barthel Index in stroke patients is 0.90 [13]. 
Moreover, the Hamilton depression rating scale (HDRS) was used to assess the level of depression among patients. The HDRS consists of 17 questions, with interpretations as follows: ≤7 is considered normal, 8-13 indicates mild depression, 14-18 indicates moderate depression, 19-22 indicates severe depression, and ≥23 indicates very severe depression. The HDRS has a Cronbach’s α value of 0.92, a sensitivity of 0.95, and a specificity of 0.94 [14]. 

Data analysis
Data analysis was done using SPSS software, version 24. The correlation between respondent characteristics and depression level was analyzed using the Spearman correlation coefficient. The correlation between behavioral perceptions, daily activities, and depression levels was analyzed using a linear regression analysis by the chi-square test and completed by GraphPad software, version 9.5.1.

Results

Respondents’ characteristics

Based on our data, the mean age of patients was 59.95 years, with a higher prevalence of males (51.4%). The majority of stroke patients had been ill for ≥6 months (57.1%), had an education level of 44.3%, and earned less than the minimum regional salary (61.4%). After collecting demographic data, we analyzed the data and found a correlation between age, length of illness, and income with the occurrence of depression in post-stroke patients, with a P<0.001. On the other hand, there was no correlation between gender and education, and PSD (P>0.005; Table 1). 




Behavioral perception analysis of depression level in stroke patients
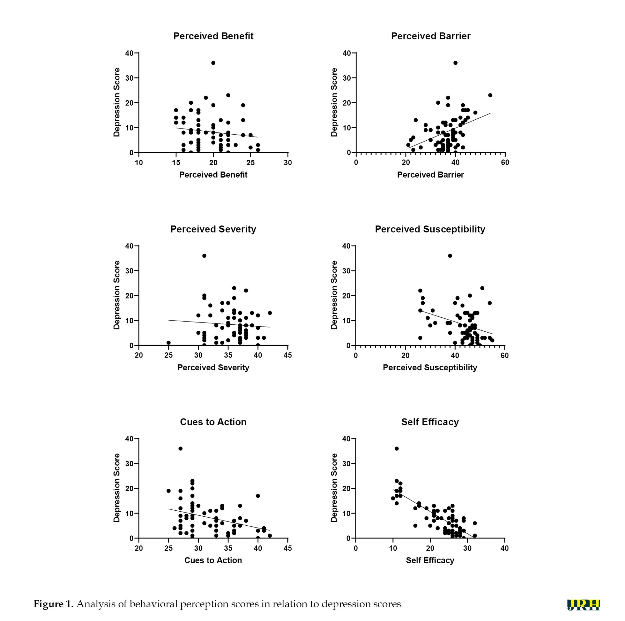
Perceived benefit and perceived severity showed no significant relationship with depression events in post-stroke evaluation (P>0.05). Perceived barrier, perceived susceptibility, cues to action, and self-efficacy were significantly correlated with PSD among stroke patients (P<0.001) (Table 1).
The lower the perceived susceptibility, the higher the depression score. This result was similar to the findings regarding cues to action and self-efficacy. In the case of perceived barriers, a higher score correlated with a higher depression score. Figure 1 clearly illustrates this result. 



Analysis of activities of daily living (ADL) in stroke patients with depression
The authors also analyzed the ADL levels of stroke patients with depression and found a significant correlation between these variables (P<0.001) (Table 1). Approximately 12.5% of ADL levels contributed to depression in stroke patients. The lower the daily activity score, the higher the depression score. These results are shown in Figure 2. 



Discussion 

The correlation between respondent characteristics and depression in stroke patients
Our analysis showed that age, length of illness, and income had a significant correlation with depression in stroke patients. Age was one of the factors involved in increasing depression incidence. The one-year increase can raise depression scores. This result demonstrated that older stroke patients had a higher risk of depression compared to younger ones [3]. An increase in depression risk due to age is often associated with social support, activity limitations, and changes in biological conditions, such as hormone decrease, changes in brain structure, and the presence of chronic diseases, which may worsen stroke patients’ condition [15]. Moreover, research has shown that a longer duration of illness is associated with a higher risk of depression. This is attributed to continuous stress, a loss of control, and stroke patients becoming unwilling to socialize, leading to self-isolation [16]. Isolation can negatively impact the recovery process, both physically and mentally. Studies indicate that stroke patients with longer durations of illness may experience cognitive disorders and depression. Additionally, the rehabilitation process is influenced by income, which affects access to the necessary rehabilitation and therapy for stroke patients. Stroke patients also face economic burdens, including those affecting their families, causing continuous stress [17]. 

The correlation between behavior perception and depression in stroke patients
The higher the perceived barrier score is associated with greater the depression experienced by stroke patients. Stroke patients facing limitations in the rehabilitation process, such as restricted access to care or a lack of support from those around them, are more likely to experience a higher prevalence of depression. These limitations can trigger stress and increase feelings of helplessness, causing depression. The significant level of limitations encountered by stroke patients may cause a lower life quality [4, 5]. The lower the perception score, the higher the depression score. Low awareness may cause a lack of caution and motivation to take preventive measures, thereby increasing the risk of depression. Another study revealed that low awareness tends to decrease patients’ life quality [18]. Conversely, high perceived susceptibility can decrease the risk of depression through an increase in realization and motivation to perform prevention strategies. Stroke patients are more likely to be involved in positive activities [19]. 
The lower the cues to action, the higher the depression score. This result aligns with another research showing that patients who were less motivated to do preventive strategies or therapy tended to experience depression more frequently compared to active patients [18]. If stroke patients have high cues to action, they are more likely to demonstrate strong motivation to engage in preventive strategies, which can help reduce the risk of depression [20]. 
If stroke patients believe they cannot face their problems, this will lead to feelings of uselessness and hopelessness. Low self-efficacy tends to correlate with higher anxiety and stress levels. To increase patient self-efficacy, health education for patients and families about self-care and fulfilling daily activities can foster strong confidence in patients, thereby potentially preventing PSD events. Studies have indicated that high self-efficacy is related to lower depression levels and improved psychological well-being [21].  

The correlation between daily activities and depression in stroke patients
Daily activities are routine daily activities that include eating, bathing, wearing clothing, going to the toilet, moving, and walking. Poor ADL may impact someone’s life quality [22, 23]. Low levels of ADL, such as difficulties with walking, dressing, and other tasks, can lead patients to feel useless and lose their independence, resulting in mental health issues. A good level of ADL may decrease the risk of depression. When stroke patients can perform daily activities, they tend to be more confident and feel satisfied with their life achievements. These factors play an important role in increasing patients’ mental health [24, 25]. 

Conclusion
Depression is one of the psychological disorders that is often experienced by stroke patients. Several factors play a role in increasing the risk of depression. This study concluded that individual characteristics, such as age, length of illness, income, and family support, have a significant correlation with depression in stroke patients. Moreover, behavioral perceptions, like perceived barriers, perceived susceptibility, cues to action, and self-efficacy, showed similar correlations. Another conclusion drawn from this study was that stroke patients with depression have significantly lower ADL scores. Health education needs to be implemented by healthcare professionals in hospitals to improve the skills of patients and their families in fulfilling their daily activities. Health education can increase patient self-efficacy, which will serve as a supporting factor in preventing depression. The factors of age and length of illness are variables that cannot be controlled, but they can be addressed through maximized support from healthcare professionals in health service facilities and from families at home.

Strengths and limitations of the study
This study provides valuable information for health workers, indicating that strengthening behavioral perception and focusing on improving daily living can be maximized. Training to enhance family members’ skills in assisting daily activities and changing patients’ behavioral perceptions can be improved through health education and training. However, using sequential samples can introduce bias; thus, a more robust sampling method should be considered in the future. Moreover, because of the diverse culture in Indonesia, multicenter research with a larger sample size needs to be conducted to get a broader understanding of the actual condition of patients. Given these limitations, generalization may not yet be achievable through this study. 
Ethical Considerations

Compliance with ethical guidelines
This study was approved by the Ethics Committee of Wongsonegoro Hospital, Semarang, Indonesia (Code: B-PK/03/07_5312/XI/2023 on November 21, 2023). 

Funding
This research did not receive any grant from funding agencies in the public, commercial, or non-profit sectors. 

Authors' contributions
Conceptualization, methodology, writing of the original draft, formal analysis and investigation: Aisyah Lahdji, Ningrum Sahirotul Azano, Renny Nafia Rahmawati, Faisol Nurul Qolmbi, and Medina Nur Jehan. Data collection, resources, visualization, writing, review, editing, and project administration: Aisyah Lahdji, Sekar Ayu Humaira Maharani, Hilma Amalia, Intan Dwi Saputri, and Satriya Pranata; Validation, supervision, and funding acquisition: Aisyah Lahdji and Satriya Pranata; Final approval: All authors.

Conflict of interest
The authors declared no conflicts of interest. 

Acknowledgments
The authors are thankful to the participants who participated in this study.




References
  1. World Health Organization (WHO). World health statistics 2024: Monitoring health for the SDGs, sustainable development goals [Interent]. 2024 [Updated 2024 May 21]. Available from: [Link]
  2. Donkor ES. Stroke in the 21st Century: A snapshot of the burden, epidemiology, and quality of life.  Stroke Research and Treatment. 2018; 2018:3238165.  [DOI:10.1155/2018/3238165] [PMID] 
  3. Liu L, Xu M, Marshall IJ, Wolfe CD, Wang Y, O'Connell MD. “Prevalence and natural history of depression after stroke: A systematic review and meta-analysis of observational studies.  PLoS Medicine. 2023;  20(3):e1004200.  [DOI:10.1371/journal.pmed.1004200] [PMID]  
  4. Shewangizaw S, Fekadu W, Gebregzihabhier Y, Mihretu A, Sackley C, Alem A. Impact of depression on stroke outcomes among stroke survivors: Systematic review and meta-analysis. PLoS One. 2023; 18(12):e0294668. [DOI:10.1371/journal.pone.0294668] [PMID]  
  5. Zhou H, Kulick ER. Social support and depression among stroke patients: A topical review. International Journal of Environmental Research and Public Health. 2023; 20(24):7157. [DOI:10.3390/ijerph20247157] [PMID]  
  6. World Stroke. WSO, global stroke fact sheet 2022 [Internet]. 2022 [Updated 2022 January 11]. Available from: [Link]
  7. Szczepańska-Gieracha J, Mazurek J. The role of self-efficacy in the recovery process of stroke survivors. Psychology Research and Behavior Management. 2020; 13:897-906.[DOI:10.2147/PRBM.S273009] [PMID] 
  8. Feng C, Fang M, Liu XY. The neurobiological pathogenesis of poststroke depression. TheScientificWorldJournal. 2014; 2014:521349.  [DOI:10.1155/2014/521349] [PMID]  
  9. Remes O, Mendes JF, Templeton P. Biological, psychological, and social determinants of depression: A review of recent literature. Brain Sciences. 2021; 11(12):1633. [DOI:10.3390/brainsci11121633] [PMID] 
  10. Robinson RG, Jorge RE. Post-Stroke Depression: A review. The American Journal of Psychiatry. 2016; 173(3):221-31. [DOI:10.1176/appi.ajp.2015.15030363] [PMID] 
  11. Lincoln NB, Francis VM, Lilley SA, Sharma JC, Summerfield M. Evaluation of a stroke family support organiser: A randomized controlled trial. Stroke. 2003; 34(1):116-21. [PMID]
  12. Daulay F. [Uji Validitas konstruk pada instrumen health belief model (HBM) dengan metode confirmatory9 factor analysis (CFA) (Indonesian)]. Jurnal Pengukuran Psikologi dan Pendidikan Indonesia. 2015; 4(4):1-16. [DOI:10.15408/jp3i.v4i4.9311]
  13. Shah S, Vanclay F, Cooper B. Improving the sensitivity of the Barthel Index for stroke rehabilitation. Journal of Clinical Epidemiology. 1989; 42(8):703-9. [DOI:10.1016/0895-4356(89)90065-6] [PMID] 
  14. Dedeken P, Nickenig Vissoci JR, Sebera F, Boon PAJM, Rutembesa E, et al. Validity, Reliability, and Diagnostic Cut-off of the Kinyarwandan Version of the Hamilton Depression Rating Scale in Rwanda. Frontiers in Psychology. 2020; 11:1343. [DOI:10.3389/fpsyg.2020.01343] [PMID] 
  15. Zheng D, Vaughn S, Gould M, Ganti L. Bibliometric analysis of depression in post-stroke patients. International Journal of Emergency Medicine. 2024; 17(1):139. [DOI:10.1186/s12245-024-00725-y] [PMID] 
  16. Li L, Han X, Ji E, Tao X, Shen M, Zhu D, et al. Altered task-modulated functional connectivity during emotional face processing in euthymic bipolar patients: A whole-brain psychophysiological interaction study. Journal of Affective Disorders. 2022; 301:162-71.  [DOI:10.1016/j.jad.2022.01.045] [PMID] 
  17. Towfighi A, Ovbiagele B, El Husseini N, Hackett ML, Jorge RE, Kissela BM, et al. “Poststroke Depression: A scientific statement for healthcare professionals from the american heart association/american stroke association. Stroke.  2017; 48(2):e30-43. [DOI:10.1161/STR.0000000000000113] [PMID] 
  18. Barra M, Evensen GS, Valeberg BT. Cues and clues predicting presence of symptoms of depression in stroke survivors.  Journal of Clinical Nursing. 2017; 26(3-4):546-56. [DOI:10.1111/jocn.13482] [PMID] 
  19. Wismanto YB, Rahayu E. Self-compassion sebagai mediator antara perceived stress dan depresi pada emerging adulthood. Psikodimensia: Kajian Ilmiah Psikologi. 2024; 23(1):41-53. [Link]
  20. Tuasikal AN, Retnowati S. Kematangan emosi, problem-focused coping, emotion-focused coping dan kecenderungan depresi pada mahasiswa tahun pertama. Gadjah Mada Journal of Psychology. 2019; 4(2):105-18. [Link]
  21. Schönfeld P, Preusser F, Margraf J. Costs and benefits of self-efficacy: Differences of the stress response and clinical implications. Neuroscience and Biobehavioral Reviews. 2017; 75:40-52.  [DOI:10.1016/j.neubiorev.2017.01.031] [PMID] 
  22. Pearce M, Garcia L, Abbas A, Strain T, Schuch FB, Golubic R, et al. Association between physical activity and risk of depression: A systematic review and meta-analysis. JAMA Psychiatry. 2022; 79(6):550-9. [DOI:10.1001/jamapsychiatry.2022.0609] [PMID] 
  23. Mlinac ME, Feng MC. Assessment of activities of daily living, self-care, and independence. Archives of Clinical Neuropsychology. 2016; 31(6):506-16.   [DOI:10.1093/arclin/acw049] [PMID] 
  24. Liu H, Ma Y, Lin L, Sun Z, Li Z, Jiang X. Association between activities of daily living and depressive symptoms among older adults in China: Evidence from the CHARLS. Front Public Health. 2023; 11:1249208.  [DOI:10.3389/fpubh.2023.1249208] [PMID] 
  25. Schuch FB, Vancampfort D, Firth J, Rosenbaum S, Ward PB, Silva ES,  et al. Physical activity and incident depression: A Meta-Analysis of Prospective Cohort Studies. The American Journal of Psychiatry. 2018; 175(7):631-48. [DOI:10.1176/appi.ajp.2018.17111194] [PMID] 
Type of Study: Short Communication | Subject: ● Psychosocial Health
Received: 2024/12/26 | Accepted: 2025/03/5 | Published: 2025/08/5

Add your comments about this article : Your username or Email:
CAPTCHA

Rights and permissions
Creative Commons License This work is licensed under a Creative Commons Attribution-NonCommercial 4.0 International License.

© 2025 CC BY-NC 4.0 | Journal of Research and Health

Designed & Developed by : Yektaweb